电容器是电路中必不可少的一种电子元件,起到储能、滤波、退耦、交流信号的旁路、交直流电路的交流耦合等等作用。电容器的类型很多,我们需要了解各类电容器的性能指标和一般特性,以及在特定用途下的优缺点和限制条件等。[1]
定义:电容是表征电容器容纳电荷多少的物理量。

电容的符号是C。公式:
在国际单位制里,电容的单位是法拉,简称法,符号是F,常用的电容单位有毫法(mF)、微法(μF)、纳法(nF)和皮法(pF)(皮法又称微微法)等。各单位的换算关系如下:
1法拉(F)= 1000毫法(mF)=1000000微法(μF)
1微法(μF)= 1000纳法(nF)= 1000000皮法(pF)。
一个电容器,如果带1库的电量时两级间的电势差是1伏,这个电容器的电容就是1法,电容是电容器的固有参数。
对于平板电容器:
其中,ε是一个常数,S为电容极板的正对面积,d为电容极板的距离, k则是静电力常量。
电容符号:


电容是一种储能元件, 储存的电场能量为:
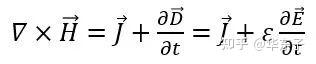
理想电容内部是介质(Dielectric),没有自由电荷,不可能产生电荷移动也就是电流,那么理想电容是如何通交流的呢?
通电电压可以在电容内部形成一个电场,而交流电压就会产生交变电场。根据麦克斯韦方程组中的全电流定律:

即电流或变化的电场都可以产生磁场,麦克斯韦将ε(?E/?t)定义为位移电流,是一个等效电流,代表着电场的变化。在这里电流代表电流密度,即J。
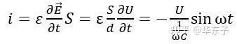
设交流电压为正弦变化,即:

实际位移电流等于电流密度乘以面积:

所以电容的容抗为1/ωC。
1. 串联后的等效电容容量倒数等于各个电容容量倒数之和;

2. 串联后的各个电容的电荷量相等;

3. 串联后的耐压等于各个电容电压之和。
1. 并联后的等效电容容量等于各个电容容量之和;

2. 并联后的各个电容两端电压相等;

3. 并联后的耐压取决于耐压最小的那个电容电压。
实际电容的特性都是非理想的,有一些寄生效应;因此,需要用一个较为复杂的模型来表示实际电容,常用的等效模型如下:

大多数时候,我们主要关注电容的ESR和ESL。
品质因数(Quality Factor)
和电感一样,可以定义电容的品质因数,也就是Q值,也就是电容的储存功率与损耗功率的比:
Qc=(1/ωC)/ESR
Q值对高频电容是比较重要的参数。
自谐振频率(Self-Resonance Frequency)
由于ESL的存在,与C一起构成了一个谐振电路,其谐振频率便是电容的自谐振频率。在自谐振频率前,电容的阻抗随着频率增加而变小;在自谐振频率后,电容的阻抗随着频率增加而变小,就呈现感性;如下图所示:

电容器是一种两块导体中间夹着一块绝缘体(介质)构成的电子元件。

按照结构、容量分为固定电容器、可变电容器和微调电容;按照介质类型可分为无机介质电容器、有机介质电容器和电解电容器;气体介质电容、液体介质电容和固体介质电容。
按极性极性的话,分为有极性和无极性电容,电解电容就属于有极性电容。
包括陶瓷电容以及云母电容等。
1.云母电容(CY、 CYZ、CYRX) 制作工艺是采用云母作为介质,在云母表面喷涂一层金属(银)薄膜引出作为电极,按需要的容量多片层叠后经浸渍压塑在胶木(或陶瓷、塑料)壳内制作而成。
容量:10p-0.1μ 额定电压:100V-7kV 主要特点:耐压(工作电压)高,精度高,损耗小,稳定性好,可靠性高,分布电感小,温度特性及频率特性好。应用于高频振荡,脉冲等要求较高的电路。
2.瓷介电容 采用陶瓷材料作介质,在陶瓷表面喷涂一层金属(银)薄膜,再经过高温烧结后作,焊上电极制成。
高频瓷介电容(CC) 容量:1-6800p 额定电压:63-500V 主要特点:温度系数小,高频损耗小,稳定性好,耐压高。主要应用于高频电路。
低频瓷介电容(CT) 容量:10p-4.7μ 额定电压:50V-100V 主要特点:体积小,价格低,损耗大,稳定性差。应用于中、低频电路中作隔直、耦合、旁路和滤波等要求不高的场合。

3.玻璃釉电容(CI) 容量:10p-0.1μ 额定电压:63-400V 主要特点:稳定性较好,损耗小,耐高温(200摄氏度)。应用场合:脉冲、耦合、旁路等电路。
在电脑主板上,我们会经常看到陶瓷电容。陶瓷电容的综合性能好,可以应用GHz级别的超高频器件上,比如CPU/GPU。当然,它的价格也很贵。
单片型陶瓷电容器,通称贴片电容,是目前用量比较大的一类电容。叠层陶瓷电容器使用陶瓷作为基材,通过复杂和精密的制作工艺,可以在很小的尺寸上,实现多对电极集成于一个狭小空间,比如风华高科的贴片电容最小尺寸可以达到长1.0mm宽0.5mm。
如纸介电容、涤纶电容、薄膜电容器,这类电容经常用在音箱上,其特性是比较精密、耐高温高压。
1.纸介电容(CZ) 采用较薄的电容器专用纸作为介质,用铝箔或铅箔作为电极,经卷绕成型、浸渍后封装而成。优点是电容量大(100pF~100μF),工作电压范围宽,最高耐压值可达6.3 kV。缺点是体积大、精度低、损耗大、稳定性较差。
金属化纸介电容(CJ):采用真空蒸发技术,在涂有漆膜的纸上再蒸镀一层金属膜作为电极而成。和普通的纸介电容相比,特点是体积小、容量大,击穿后自愈能力强。

2.聚酯(涤纶)电容(CL) 用有极性聚脂薄膜为介质制成的无极性电容。具有正温度系数,温度升高时,电容量变大。电容量:40p--4μ 额定电压:63--630V 。
主要特点是小体积,大容量,耐热耐湿,稳定性差。应用于对稳定性和损耗要求不高的低频电路
3.聚苯乙烯电容(CB) 分为箔式和金属化式两种类型。箔式电容绝缘电阻大,介质损耗小,容量稳定,精度高,但体积大,耐热性较差;金属化式电容防潮性和稳定性比箔式要好,并且击穿后能自恢复,缺点是绝缘电阻偏低,高频特性差。
电容量:10p--1μ 额定电压:100V--30KV 主要特点:稳定,低损耗,体积较大。应用:对稳定性和损耗要求较高的电路
4.聚丙烯电容(CBB) 使用无极性聚丙烯薄膜做为介质制成的一种无极性电容,是负温度系数。有非密封式和密封式两种类型,前者常用有色树脂漆封装,后者用金属或塑料外壳封装。
电容量:1000p--10μ 额定电压:63--2000V

优点是损耗小,性能稳定,绝缘性好,容量大。性能与聚苯相似但体积小,稳定性略差。可以代替大部分聚苯或云母电容,用于要求较高的电路
小伙伴们熟悉的铝电容,钽电容其实都是电解电容。电解电容的性能特点:
1.单位体积的电容量非常大,比其它种类的电容大几十到数百倍。
2.额定的容量可以做到非常大,可以轻易做到几万μf甚至几F(但不能和双电层电容相比)。
3.价格低廉。
电解电容的分类,传统的方法都是按阳极材质以下几种:
1.铝电解电容(CL) 有极性,是将附有氧化膜的铝箔(正极)和浸有电解液的衬垫纸,与阴极(负极)箔叠片一起卷绕而成。电容量:0.47--10000μ 额定电压:6.3--450V 优点是容量范围大,缺点是容量误差大(最大允许偏差+100%,–20%),耐高温性较差,存放时间长容易失效,介质损耗大,漏电大。主要应用与电源滤波,低频耦合,去耦,旁路以及时间常数设定、阻隔直流等等。

外观识别:外型封装有管式、立式,并在铝壳外有蓝色或黑色塑料套。不管是SMT贴片工艺的(“贴片电容”,识别方式是底坐有黑色橡胶),还是直插式的,或者有塑料表皮的,只要它们的阳极材质是铝,那么就都叫做铝电解电容。电容的封装方式和电容的品质本身并无直接联系,电容的性能只取决于具体型号。
2.钽电解电容(CA)电容量:0.1-1000μ 额定电压:6.3-125V
主要特点:损耗、漏电小于铝电解电容。应用:在要求高的电路中代替铝电解电容。阳极由钽构成,就是那种我们在显卡上见到的黄色或黑色小颗粒。

因为钽电容的介质为阳极氧化后生成的五氧化二钽,它的介电常数ε比铝电容的三氧化二铝介质要高。因此在同样容量的情况下,钽电容的体积能比铝电容做得更小。
电解电容的电容量取决于介质的介电能力和体积,在容量一定的情况下,介电能力越高,体积就可以做得越小,反之,体积就需要做得越大。
目前很多钽电解电容都用贴片式安装,其外壳一般由树脂封装(采用同样封装的也可能是铝电解电容)。
贴片式钽电容器的极性一般是水平线一端是正极,另一端钽是负极;引线式钽电容器的长腿是正极,短腿是负极。
3.铌电解电容(CN)。这种电容如今已经用的比少。
铝电解电容与钽电解电容的比较:
1、铝电解电容的容体比较大,串联电阻较大,感抗较大,对温度敏感.它适用于温度变化不大、工作频率不高(不高于25kHz)的场合,可用于低频滤波(在高频率得时候电解电容的并联滤波效果较低频差).铝电解电容具有极性,安装时必须保证正确的极性,否则有爆炸的危险.
2、和铝电解电容相比,钽电解电容在串联电阻、感抗、对温度的稳定性等方面都有明显的优势。但是它的工作电压较低。
一般将铝电解电容器的额定电压的1.3倍作为电容器的浪涌电压。这是生产厂家保证的电压,可以允许在短时间内承受此电压。电容器处于浪涌电压时,电流会很大,通常是正常情况的10~15倍。如果时间太长,会因过热而爆开。所以一般选用铝电容器时,应该把电压选得稍高些,实际工作电压为标称电压的70~80%为宜。
铝电解电容和钽电解电容不是由外观封装形式决定的。像黄色与黑色小方块,通常我们认为是钽电解电容,但实际其阳极也有可能是铝。传统看法是钽电容性能比铝电容好,因为钽电容的介质为阳极氧化后生成的五氧化二钽,它的介电常数ε比铝电容的三氧化二铝介质要高。因此在同样容量的情况下,钽电容的体积能比铝电容做得更小。(电解电容的电容量取决于介质的介电能力和体积,在容量一定的情况下,介电能力越高,体积就可以做得越小,反之,体积就需要做得越大)。
体积小、再加上钽的性质比较稳定,所以通常认为钽电容性能比铝电容好。但这种凭阳极判断电容性能的方法已经过时,目前认为决定电解电容性能的关键并不在于阳极,而在于电解质,也就是阴极。因为不同的阴极和不同的阳极可以组合成不同种类的电解电容,其性能也大不相同。采用同一种阳极的电容由于电解质的不同,性能可以差距很大,总之阳极对于电容性能的影响远远小于阴极。
电解电容使用经验:
1.在滤波电路中,电解电容根据具体情况取电压值为噪声峰值的1.2--1.5倍,并不根据滤波电路的额定值;
2.电解电容的正下面不得有焊盘和过孔;
3.电解电容不得和周边的发热元件直接接触;
4.铝电解电容分正负极,不得加反向电压和交流电压,对可能出现反向电压的地方应使用无极性电容;
5.对需要快速充放电的地,不应使用铝电解电容器,应选择特别设计的具有较长寿命的电容器.;
6.不应使用过载电压
a.直流电压与纹波电压叠加后的缝制电压低于额定值;
b.两个以上电解电容串联的时候要考虑使用平衡电阻器,使得各个电容上的电压在其额定的范围内.
7.设计电路板时,应注意电容器防爆阀上端不得有任何线路,并应留出2mm以上的空隙.
8.电解液主要是化学溶剂及电解纸为易燃物,且电解液导电。当电解液与pc板接触时,可能腐蚀pc板上的线路,以致生烟或着火,因此在电解电容下面不应有任何线路;
9.设计线路板时,应确认发热元器件不靠近铝电解电容或者电解电容的下面。
铝电解电容ESR比普通钽电解电容还要小一些.
钽电解电容抗冲击能力很差,用于开关电源滤波必须留较大余量。[2]
1.空气介质可变电容器 可变电容量:100--1500p 主要特点是损耗小,效率高;可根据要求制成直线式、直线波长式、直线频率式及对数式等。应用:电子仪器,广播电视设备等
2.薄膜介质可变电容器 可变电容量:15--550p 主要特点:体积小,重量轻;损耗比空气介质的大。应用:通讯,广播接收机等
3.薄膜介质微调电容器 可变电容量:1--29p 主要特点:损耗较大,体积小 应用:收录机,电子仪器等电路作电路补偿
4.陶瓷介质微调电容器 可变电容量:0.3--22p 主要特点:损耗较小,体积较小 应用于精密调谐的高频振荡回路

独石又叫多层瓷介电容,用钛酸钡为主的陶瓷材料,烧结制成的多层叠片状超小型电容器。分两种类型,1型性能好,但容量小;II型,容量大,但性能一般。
根据所使用的材料,可分为三类,一类为温度补偿类,二类为高介电常数类,三类为半导体类,主要用于电子整机中的振荡、耦合、滤波、旁路电路中。
简单的平行板电容器是由一个绝缘的中间介质层加外两个导电的金属电极。多层片式陶瓷电容器的结构主要包括三大部分:陶瓷介质,金属内电极,金属外电极。它是一个多层叠合的结构,由多个简单平行板电容器的并联体。
独石电容是以电子陶瓷材料作介质,将预制好的陶瓷浆料通过流延方式制成厚度小于10微米陶瓷介质薄膜,然后在介质薄膜上印刷内电极,并将印有内电极的陶瓷介质膜片交替叠合热压,形成多个电容器并联,在高温下一次烧结成为一个不可分割的整体芯片,然后在芯片的端部涂敷外电极浆料,使之与内电极形成良好的电气连接,再经复温还原,形成片式陶瓷电容器的两极。
容量范围:0.5PF--1ΜF 耐压:二倍额定电压。广泛应用于电子精密仪器。在各种小型电子设备作谐振、耦合、滤波、旁路。
独石电容的特点:电容量大、体积小、可靠性高、电容量稳定,耐高温耐湿性好等。最大的缺点是温度系数很高,做振荡器的稳漂让人受不了。
就温漂而言:独石电容为正温糸数+130左右,CBB为负温系数-230,用适当比例并联使用,可使温漂降到很小.
就价格而言:钽、铌电容最贵,独石,CBB较便宜,瓷片电容最低。但是有些高频零温漂黑点瓷片稍贵,云母电容Q值较高,也比较贵。
“安规”是安全规范的简称。
安规电容器是行业对抑制电源电磁干扰用固定电容器的俗称,因为该类电容符合安全规范、且通过安全规范测试/认证,同时其本体印刷有多个国家的安全认证LOGO/标志,故而称为安规电容器。此类电容在实际应用中的“安规”表现在:即使电容器失效后,也不会导致电击,不危及人身安全;此外,它采用阻燃材料制造,顶多会爆炸(只是炸裂,没有火产生,只产生气体),然后就是短路,不会导致火灾发生。[3]

安规电容一般是由介质、电极、外壳、封装、引脚五个部分组成的。其介质一般是由聚丙烯膜组成;电极是由金属真空蒸发层组成;外壳一般是以阻燃PBT塑壳(UL94V-0)为主;封装一般是由阻燃环氧树脂(UL94V-0)组成;而引脚是以镀锡铜包钢线而组成。
安规电容通常只用于抗干扰电路中的滤波作用。它们用在电源滤波器里,起到电源滤波作用,分别对共模,差模干扰起滤波作用。
根据IEC60384-14规定,安规电容器分为X电容和Y电容。
注:L:LINE N:NEUTRAL G:GROUND)
也就是说:火线-零线间的电容是X电容,火线或零线与地线间的电容是Y电容。
主要参数:标称容量以及允许偏差。目前我国采用的固定式标称容量系列是:E24,E12,E6系列。他们分别使用的允许偏差是+-5% +-10% +-20%。
1、标称电容量和允许偏差
标称电容量是标志在电容器上的电容量。云母和陶瓷介质电容器的电容量较低(大约在5000pF以下);纸、塑料和一些陶瓷介质形式的电容量居中;通常电解电容器的容量较大。
电容的标称值分为E24、E12、E6三个系列:E6系列为最常用的,E12系列次之,E24系列又次之。
1) E24系列的取值为1.0、1.1、1.2、1.3、1.5、1.6、1.8、2.0、2.2、2.4、2.7、3.0、3.3、3.6、3.9、4.3、4.7、5.1、5.6、6.2、6.8、7.5、8.2、9.1 乘以10的n次方;
2)E12系列的取值为1.0、1.2、1.5、1.8、2.2、2.7、3.3、3.9、4.7、5.6、6.8、8.2乘以10的n次方;
3)E6系列的取值为1.0、1.5、2.2、3.3、4.7、6.8乘以10的n次方。
电容器实际电容量与标称电容量的偏差称误差,在允许的偏差范围称精度。
精度等级与允许误差对应关系:00(01)-±1%、0(02)-±2%、Ⅰ-±5%、Ⅱ-±10%、Ⅲ-±20%、 Ⅳ-(+20%-10%)、Ⅴ-(+50%-20%)、Ⅵ-(+50%-30%)
一般电容器常用Ⅰ、Ⅱ、Ⅲ级,电解电容器用Ⅳ、Ⅴ、Ⅵ级,根据用途选取。
2、额定电压
在最低环境温度和额定环境温度下可连续加在电容器的最高直流电压有效值,一般直接标注在电容器外壳上,如果工作电压超过电容器的耐压,电容器击穿,造成不可修复的永久损坏。
电容器应用在高压场合时,必须注意电晕的影响。电晕是由于在介质/电极层之间存在空隙而产生的,它除了可以产生损坏设备的寄生信号外,还会导致电容器介质击穿。在交流或脉动条件下,电晕特别容易发生。对于所有的电容器,在使用中应保证直流电压与交流峰值电压之和不的超过直流电压额定值。
3、绝缘电阻
直流电压加在电容上,并产生漏电电流,两者之比称为绝缘电阻.
当电容较小时,主要取决于电容的表面状态,容量〉0.1uf时,主要取决于介质的性能,绝缘电阻越小越好。
电容的时间常数:为恰当的评价大容量电容的绝缘情况而引入了时间常数,他等于电容的绝缘电阻与容量的乘积。
4、损耗角正切(tgδ):
电容在电场作用下,在单位时间内因发热所消耗的能量叫做损耗。各类电容都规定了其在某频率范围内的损耗允许值,电容的损耗主要由介质损耗,电导损耗和电容所有金属部分的电阻所引起的。在直流电场的作用下,电容器的损耗以漏导损耗的形式存在,一般较小,在交变电场的作用下,电容的损耗不仅与漏导有关,而且与周期性的极化建立过程有关。
损耗角正切:在规定频率的正弦电压下,电容器的损耗功率除以电容器的无功功率。
在实际应用中,电容器并不是一个纯电容,其内部还有等效电阻。C为电容器的实际电容量,Rs是电容器的串联等效电阻,Rp是介质的绝缘电阻,Ro是介质的吸收等效电阻。对于电子设备来说,要求Rs愈小愈好,也就是说要求损耗功率小,其与电容的功率的夹角δ要小。
这个关系用下式来表达: tgδ=Rs/Xc=2πf×c×Rs 因此,在应用当中应注意选择这个参数,避免自身发热过大,以减少设备的失效性。
5、频率特性
随着频率的上升,一般电容器的电容量呈现下降的规律。
简单的电容器是由两端的极板和中间的绝缘电介质构成的。通电后,极板带电,形成电压,但是由于中间的绝缘物质,所以整个电容器是不导电的。不过,这样的情况是在没有超过电容器的临界电压(击穿电压)的前提条件下的。任何物质都是相对绝缘的,当物质两端的电压加大到一定程度后,物质是都可以导电的,我们称这个电压叫击穿电压。电容也不例外,电容被击穿后,就不是绝缘体了。
电容的识别方法与电阻的识别方法基本相同,分直标法、色标法和数标法3种。
1.容量大的电容其容量值在电容上直接标明,如9μF/450V 22μF/50V
2.容量小的电容其容量值在电容上用字母表示或用数字表示。
1)字母表示法:1m=1000 μF 4P7=4.7PF 1n=1000PF
2)数字表示法:三位数字的表示法也称电容量的数码表示法。三位数字的前两位数字为标称容量的有效数宇,第三位数宇表示有效数字后面零的个数,它们的单位都是pF。
如:102表示标称容量为1000pF。
331表示标称容量为330pF。
474表示标称容量为47x10(4)pF。
在这种表示法中有一个特殊情况,就是当第三位数字用"9"表示时,是用有效数宇乘上 来表示容量大小。
如:229表示标称容量为
允许误差 ±1% ±2% ±5% ±10% ±15% ±20%
电容器的封装形式
穿孔式封装是我们最熟悉的类型,具体还可分为引线式和插接式两种,显著标志是拥有引脚,插接式通常还有一个固定脚。安装时需要将引脚穿过PCB。
贴片式封装
SMD(Surface MountDevice)。和引线式相比,仅需安装在PCB表面,无须穿透整个PCB,便于自动化安装,也节省了PCB面积,还可以让PCB内部走线更加自如;也会在一定程度上减少干扰。不过贴片式元器件焊接温度较高,对器件本身的耐温能力也会有一定的要求,并不是所有规格的元器件都可以采用。
简单说,在元器件规格相同的情况下,贴片式封装要优于引线式,当然,价格也会更高。
华东子:电子线路中(集成芯片引脚相连)的电容都是干什么用的?电容量是如何确定的?1、通交隔直:作用是阻止直流通过而让交流通过。如图中的电容C1和C2,分析三极管工作状态时,直流等效电路将电容视为开路,微变等效电路将电容视为短路,从而简化了电路的分析运算。
交流放大电路中的耦合电容,耦合变压器有何用途?
2、交流旁路(去耦):为交流电路中某些并联的元件提供低阻抗通路。比如下面的电路,可以将高频信号旁路。

去耦,又称退耦、解耦。下面说说所谓电路耦合问题:
从电路结构上来说,可以区分为驱动的信号源(前级)和被驱动的负载(后级)。在前级信号发生突然变化时,如果负载电容比较大,驱动电路需要为负载电容充电或者放电,才能完成信号的跳变,尤其是在上升沿比较陡峭的时候,电流比较大,这样大的驱动电流就会吸收很大的电源电流,由于电路中还有其它电感、电阻(特别是芯片管脚上的电感),从而产生反弹,这种电流相对于正常情况来说实际上就是一种噪声,会影响前级的正常工作,这就是所谓的“耦合”。
去耦电容就是起到一个“电源-蓄水池”的作用,满足驱动电路电流的变化,避免相互间的耦合干扰。如果将旁路电容和去藕电容结合起来将更容易理解。旁路电容实际也是去耦合的,只是旁路电容一般是指高频旁路,也就是给高频的开关噪声提高一条低阻抗泄防途径。高频旁路电容一般比较小,根据谐振频率一般取0.1μF、0.01μF等;而去耦合电容的容量一般较大,可能是10μF或者更大,依据电路中分布参数、以及驱动电流的变化大小来确定。旁路是把输入信号中的干扰作为滤除对象,而去耦是把输出信号的干扰作为滤除对象,防止干扰信号返回电源。

下面再说明一下电源旁路电容的作用:
这个电容一般并接于电路(芯片电源管脚)正负极之间,一方面可防止电路通过电源形成的正反馈通路而引起的寄生振荡。另一方面为本地器件提供能量,它能使稳压器的输出均匀化,降低负载需求。就像小型可充电电池一样,旁路电容能够被充电,并向器件进行放电。为尽量减少阻抗,旁路电容要尽量靠近负载器件的供电电源管脚和地管脚。因为地线也是有阻抗的,这能够很好地防止电源电流过大而导致的地电位抬高和噪声。地电位是地连接处在通过大电流毛刺时的电压降。
电容在电子电路中的作用有什么?3、交流耦合:作为两个电路之间的连接,允许交流信号通过并传输到下一级电路

4、直流电源滤波:比如二极管桥式整流后面,用于平滑电流。
可以自己更换主板的电容来增强供电吗?
在滤波器中,电容滤波的注意事项:
1)电容滤波是也有频段的。如果认为滤波电容越大越好,这是错误的。一定容量电容有一定的滤波频段,大电容滤低频,小电容滤高频,主要是根据电容的谐振频点来决定,电容在谐振频率点处有最佳的滤波效果。在以谐振点为中心的一段频段之内有较好的滤波效果,其他部分滤波效果不佳。电容的谐振点与电容的容值和ESL(等效串联电感)是相关的。比如,在电源端口增加微法级别电容来滤波几百KHZ到5MHZ之间的差模干扰,原因就是微法级别电容谐振点在1MHZ左右;加在高频数字电路上的1nF贴片电容,1nf电容的谐振频率在100MHZ之间,这样比较好滤波几十MHZ到200MHZ干扰,有利与EMI问题解决!
2)电容选好了,不代表就一定能滤除干扰!电容只是起到一个沟渠得作用,能否滤波还取决与电容接的地上干扰的大小。我们会发现解决干扰问题加电容没有效果,有很大程度是地上干扰本身很大!反而把地上干扰引到信号或电源上来!需要注意,地上干扰在有些情况小并不是最小的!所以电容滤波有一个重要的基础,就是所接的地要干扰小,就是通常说的“静地”。
所以说,我们必须选取合适的电容以及接干扰比较小的地,电容滤波时才能达到更好滤波效果。
5、温度补偿:针对其它元件对温度的适应性不够带来的影响,而进行补偿,改善电路的稳定性。
6、计时:电容器与电阻器配合使用,确定电路的时间常数,时间常数t=RC。

7、调谐:对与频率相关的电路进行系统调谐,比如手机、收音机、电视机。

8、储能:比如超级电容器,储存电能,用于必须要的时候释放。例如相机闪光灯,加热设备等等。
电容可以用家庭电路充能吗?
超级电容器:一种相对传统电容器而言具有更高容量的一种电容器。是介于电容器和电池之间的储能器件,它既具有电容器可以快速充放电的特点,又具有电池的储能特性。通过极化电解质来储存能量,它与普通电容的最大区别是它是一种电化学的物理部件,但本身并不进行化学反应,超级电容的储电量特别大,达到法拉级的电容量。

何为超级电容?中国工程院院士刘友梅介绍,通俗地讲就是第三代储能装置.
第一代为机械式储能,如飞轮、发条等;
第二代为化学式储能,如铅酸蓄电池、镍氢电池、锂电池等;
第三代就是以超级电容为代表的物理式储能装置。[4]
手机充电仅需2秒钟、储能式轻轨列车充电仅需20余秒钟就能满足正常运用,这就是超级电容的神奇功能。强大的储能装置是电磁弹射器的核心技术之一,而且是最终实现工程化的关键。
由于具有功率密度高、充放电时间短、循环寿命长、工作温度范围宽等特点,是世界上已投入量产的双电层电容器中容量最大的一种,已经被广泛应用。
超级电容器在结构上与电解电容器非常相似,两者的主要区别在于制造电极的材料。早期的超级电容器的电极采用碳,碳电极材料的表面积很大,电容的大小取决于表面积和电极的距离,这种碳电极的大表面积再加上很小的电极距离,使超级电容器的容值可以非常大,大多数超级电容器可以做到法拉级,一般容值范围为1~5000F。[5]
使用须知[6]:
1.极性问题:SC是有固定电极的,使用前,必须事先确认其极性。
2.标称电压下使用 如果SC承受的电压超过了其标称电压,则会导致其电解液的分解,同时伴随着电容器发热,电容容量下降的现象。此时,其内阻也会增加,缩短其寿命,甚至在某些情况下,可能会导致SC性能的崩溃。
3.不能高频率充放电 高频率的快速充放电会导致SC内部发热,容量衰减,内阻增加,在某些情况下会导致电容器性能崩溃。
4.避免短路 如果SC被使用在双面线路板上的时候,需要注意连接处不可经过电容器可触及的地方,由于SC的安装方式,会导致短路现象。
5.串联使用 当SC进行串联使用时,存在单体间的电压均衡问题,单纯的串联会导致某个或几个单体电容器过压,从而损坏这些电容器,整体性能受到影响,故在电容器进行串联使用时,需得到厂家的技术支持。
5.用作后备电源 如果SC被用来做后备电源时,我们需要注意其电压降。因为SC具有内电阻大的特点,在其放电的瞬间存在电压降ΔV=IR。
6.不可用于纯交流电
SC是有极性的电容,实际上是只能按一个电压方向使用的电容,所以使用的时候必须要在纯交流上加直流分量,并且所加直流分量要大于交流最大峰值,以使整个交流电的极性统一。
有极性电解电容器通常在电源电路或中频、低频电路中起电源滤波、退耦、信号耦合及时间常数设定、隔直流等作用。而无极性电容就可以用在纯交流电路中,并且由于其容值一般较小,可用于高频滤波。
工作(外部)坏境:
1.温度 其温度范围宽-40℃~+70℃。超低温特性好,但是承受高温的能力很弱。所以SC在使用的过程中需要远离热源。
2.气体 不可处于相对湿度大于85%或含有有毒气体的场所,这些环境下会导致引线及电容器壳体腐蚀,导致断路。
3.存放 不能置于高温、高湿的环境中,应在温度-30+50℃、相对湿度小于60%的环境下储存,避免温度骤升骤降,因为这样会导致SC的损坏。
焊接安装:
1.谨慎安装 在安装时候,勿强行倾斜或者扭动电容器,这样会导致电容器的引线松动,导致性能劣化。
2.避免焊接物渗入电容穿线孔内。在将SC焊接到某个线路板上的时候,切勿将电容器壳体接触到线路板上,不然焊接物会渗入到电容穿线孔内,这会对SC的性能产生不利影响的。
3.焊接时避免过热 SC对高温比较敏感,其焊接的时候,如果电容器本身出现过热现象,是会降低SC的使用寿命的。
4.焊接后须清洗 在完成焊接后,需要进行清理。要注意的是,线路板和电容器这两块都必须经过清洗才行,否则一些沉积的杂质会导致电容器发生短路。
如何让超级电容器兼具高功率、高能量,长期以来科学家一直都在寻找理想的材料。

以下是研究进展:
中国从上世纪90年代开始研制超级电容。
2013年9月12日,从中国南车株洲电力机车有限公司传来消息,其旗下宁波南车新能源科技有限公司自主研制的世界最大功率超级电容单体(7500F)成功实现了批量生产,首批5000只7500F超级电容产品已交付用户。
2015年,中科院上海硅酸盐所黄富强研究团队最终发现,石墨烯是超级电容器电极的最佳选择。通过反复试验、设计、合成,发现氮掺杂有序介孔石墨烯的性能表现最佳。不仅能实现高能量密度、高功率密度,而且还可以通过使用水基电解液,做到无毒、环保、价格低廉、安全可靠。该材料具有极佳的电化学储能特性,可用作电动车的“超强电池”:充电只需7秒钟,即可续航35公里,相关研究成果已于2015年12月18日发表在世界顶级期刊《科学》上。
2015年11月,据FT中文网报道,剑桥大学在电化学领域的一项突破,或将催生可充电的超级电池。化学教授克莱尔格雷(Clare Grey)和她的团队攻克了锂空气电池开发中的技术难关。理论上说,只有这种电池能让电动汽车在不必携带巨大而笨重的电池组的情况下,拥有可媲美汽油车及柴油车的续航里程。如果能把该技术从实验室的演示品转变为商品,将令汽车只充一次电就能从伦敦驶到爱丁堡(约合648公里),所用电池的成本和重量却只有今日电动汽车所用锂离子电池的五分之一。
和目前的可充电电池中盛行的锂离子技术相比,锂空气电池理论上拥有巨大的优势——其能量密度可能要高10倍——以至于全球的研究人员都在开展锂空气电池的研究。锂空气电池的基本化学原理十分简单。这种电池通过锂和氧结合成过氧化锂实现放电,再通过施加电流逆转这一过程而完成充电。而如何可靠地令上述反应在许多周期内反复发生,则是该技术面临的挑战。
研究人员表示,剑桥实验室中展示的电池系统效率达90%,可充电2000次。不过他们表示,可能至少还需10年的工作,才能将该电池变为可用于汽车和电网蓄电的商业电池。电网蓄电装置用于存储太阳能和风能发电站间歇发出的电力,以便在需要的时候使用。
超级电池技术取得突破性进展 -国家能源网柔性化、微型化的智能电子产品的出世,带动了其配套的芯片储能器件的发展,微型超级电容器当前使用越来越广泛。
有容乃大的超级电容注:版权属笔者所有,如需转载请务必联系!
最后说一句:码字不易,若此文对你有启发,收藏前请点个赞、点点喜欢,是对知乎主莫大的支持!!